مشاوره خصوصی کنکور ارشد رو با استاد رضوی رزرو کن
ویس توضیحات مشاوره رزرو مشاوره
کنکور کامپیوتر
0
ورود | ثبت نام
نظرات
اشتراک
بالا
علاقه‌مندی

اشتراک
 

پاسخ تشریحی هوش مصنوعی کنکور ارشد کامپیوتر و آیتی 1403

پاسخ تشریحی هوش مصنوعی کنکور ارشد کامپیوتر و آیتی ۱۴۰۳ در این صفحه بصورت رایگان قرار گرفته و روش های دسترسی به پاسخ های هوش مصنوعی سال های قبل گفته شده

برای شروع حرفه‌ای کنکور ارشد کامپیوتر،آی‌تی و علوم کامپیوتر حتما روی عکس زیر کلیک کنید تا در کانال کنکور کامپیوتر عضو شوید، در این کانال به معرفی بهترین منابع کنکور ارشد،برنامه ریزی و مشاوره، معرفی گرایش‌ها و هر آنچه برای موفقیت در کنکور ارشد نیاز دارید پرداخته شده است

درس هوش مصنوعی برای تمامی زیرگروه‌ها از اهمیت بالایی برخوردار است. اگر می‌خواهید نتیجه خوبی در این درس کسب کنید، نیازمند پاسخ تشریحی تست‌های کنکور هستید. این مقاله پاسخ تشریحی هوش مصنوعی ۱۴۰۳ را بیان می‌کند. اگر نیاز دارید به پاسخ تشریحی درس هوش مصنوعی سال‌های دیگر دسترسی داشته باشید، در ادامه دو روش دوره نکته و تست هوش مصنوعی و  پلتفرم آزمون را معرفی کرده‌ایم.

ویدیو پاسخ تشریحی درس هوش مصنوعی کنکور ارشد کامپیوتر 1403

 ویدیو پاسخ تشریحی درس هوش مصنوعی کنکور ارشد آیتی فناوری اطلاعات 1403

پاسخ تشریحی هوش مصنوعی ۱۴۰۳

آسان درخت بازی زیر را درنظر بگیرید و فرض کنید از الگوریتم هرس آلفا – بتا برای پیدا کردن حرکت بهینه استفاده شده است. کدام گره‌ها هرس می‌شوند؟  بازی های رقابتی
241
1 $C$ و $G$
2 $F\ ،E$ و $G$
3 $B\ ،A$ و $C$
4 هیچ گره‌ای هرس نمی‌شود.
گزینه 4 صحیح است.
مراحل هرس آلفا – بتا به‌شکل زیر است:
242
 
243
 
244
 
245
متوسط یک مسئله ارضای محدودیت CSP، دارای گراف محدودیت است. کدام مورد، درست است؟ مسائل ارضای محدودیت
1 این مسئله، فقط دارای محدودیت‌های یگانی است.
2 این مسئله، دارای محدودیت‌های دوگانی است.
3 این مسئله، دارای محدودیت‌های چندگانه است.
4 بدون مشاهده گراف محدودیت آن، نمی‌‌توان نظر داد.
پاسخ گزینه 4 است. کلید نهایی سنجش گزینه 2 اعلام شده است . 
در ویرایش 4 کتاب راسل صفحه 169 بیان شده که:
اگر متغیرهای کمکی کافی معرفی شوند، می‌توان هر محدودیت دامنه محدود را به مجموعه‌ای از محدودیت‌های باینری کاهش داد، این بدان معناست که ما می‌توانیم هر CSP را به یک CSP با محدودیت‌های باینری تبدیل کنیم. بنابراین اگر یک CSP داشته باشیم که آن‌را به یک CSP با محدودیت باینری تبدیل کرده باشیم و سپس گراف محدودیت آن‌را کشیده باشیم، ممکن است از روی گراف محدودیت مثلاً متوجه محدودیت‌های سراسری بشویم که در این‌صورت فقط زمانی می‌توان درمورد محدودیت‌ها نظر داد که گراف محدودیت را داشته باشیم.
آسان کدام مسئله زیر را نمی‌توان با روش تپه‌نوردی با شروع مجدد تصادفی حل کرد؟ الگوریتم های جستجوی آگاهانه
1 8 وزیر
2 پازل 8
3 رنگ کردن نقشه
4 فروشنده دوره‌گرد
گزینه 2 صحیح است.
در مسئله پازل 8 یک goal مشخص وجود دارد که هدف رسیدن به goal است. در سایر مسائل که در گزینه‌ها مطرح شده، هدف رسیدن به حالتی است که یک سری قیود را ارضا کند. در مسئله‌ی پازل 8، الگوریتم تپه‌نوردی با شروع مجدد تصادفی فقط مسئله‌ی جدیدی ایجاد می‌کند که کمکی به حل مسئله‌ی اصلی نمی‌کند. درنتیجه استفاده از این الگوریتم در پازل 8 غیرمنطقی می‌باشد.
متوسط در یک جست‌و‌جوی $A^*$ درختی، از $n$ تابع مکاشفه قابل‌قبول به این صورت استفاده می‌کنیم که برای هر گره، جهت محاسبۀ تابع هزینه $f$، یکی از این $n$ تابع با احتمال مساوی انتخاب می‌شود. از آن‌جا که این انتخاب تصادفی است، ممکن است در گره‌های مختلف از توابع مختلف استفاده شود. در پایان جست‌و‌جو، کدام مورد اتفاق می‌افتد؟ الگوریتم های جستجوی آگاهانه
1 حتماً گره بهینه برگردانده می‌شود.
2 ممکن است یک گره غیرهدف برگردانده شود.
3 یکی‌از گره‌های هدف که حتماً غیربهینه است، برگردانده می‌شود.
4 یکی‌از گره‌های هدف که ممکن است بهینه نباشد، برگردانده خواهد شد.
 گزینه 1 صحیح است.
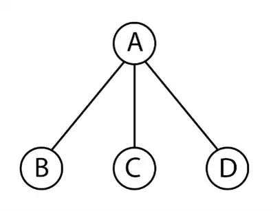
خانواده‌ای از توابع $\left\{h_1,h_2,\dots ,h_n\right\}$ داریم که همگی قابل قبول هستند. در ابتدای اجرای الگوریتم یکی از $h_i(n)$ که قابل قبول است انتخاب می‌شود و گره‌ای بسط داده می‌شود $f\left(n\right)=h_{\textrm{?}}\left(n\right)+g\left(n\right)$ کمتری نسبت به بقیه دارد.
 برای مثال برای گره‌ی شروع A و فرزندان آن یعنی B و C و D داریم:
 
 
$f\left(n\right)=h_i\left(n\right)+g\left(n\right)$
$f\left(D\right)<f\left(C\right)$
$f\left(D\right)<f\left(B\right)$
 
 گره‌ی D برای توسعه انتخاب می‌شود. اگر برای سادگی استقرا فرض کنیم D در مسیر حواب بهینه است در ادامه از $h'_i=(n)$ برای محاسبه $f(n)$ استفاده می‌شود. 
 
$f\left(E\right)<f\left(F\right)<f\left(B\right)<f\left(C\right)$
$f\left(n\right)=h_{i'}\left(n\right)+g\left(n\right)$
 
246
 
 
 
 
 
 
 
 
 247
حال با استفاده از تابع هیوریستیک $h'_i(n)$ گره‌ی E برای توسعه انتخاب می‌شود.
اگر از ابتدا از $h'_i(n)$ به‌عنوان تابع هیوریستیک استفاده شود چون $h'_i(n)$ قابل قبول است و چون D در مسیر گره‌ی بهینه قرار دارد D به‌عنوان گره برای توسعه انتخاب می‌شود و ما باز در این حالت قرار می‌گرفتیم.
با استقرا می‌توان گفت که درنهایت اگر تمام $h(n)$ ها قابل قبول باشند گره‌ی بهینه به‌عنوان جواب برگردانده می‌شود.
درنتیجه گزینه 1 صحیح است.
آسان درصورتی‌که دو ربات در دو نقطه متفاوت از هزارتوی به‌شکل زیر که از هرطرف نامحدود است، قرار داشته باشند و بخواهند یکدیگر را پیدا کنند، در چه حالتی ممکن است پاسخ بهینه به‌دست آید؟ الگوریتم های جستجوی ناآگاهانه
248
1 هردو، از روش اول عمق استفاده کنند.
2 هردو، از روش اول سطح استفاده کنند.
3 یکی از ربات‌ها ساکن بماند و دیگری، با روش اول عمق آن را پیدا کند.
4 یکی از ربات‌ها از روش اول سطح و دیگری، از روش اول عمق استفاده کند.
 گزینه 2 صحیح است.
برای پیدا کردن یکدیگر ربات‌ها از جستجوی دوطرفه استفاده می‌کنند که می‌دانیم فقط زمانی جواب بهینه می‌دهد که هردو از BFS استفاده کنند و درصورتی‌که یکی از ربات‌ها از الگوریتم دیگری استفاده کند، دیگر بهینگی تضمین شده نیست.
آسان درخصوص عبارت‌های زیر، کدام مورد درست است؟ منطق مرتبه اول
$\begin{array}{c} P_1:\left(a\wedge b\right)\models \left(a\vee b\right) \\ P_2:\left(a\wedge b\right)\models \left(a\wedge b\right) \end{array}$
1 هر دو عبارت، $P_1$ و $P_2$، درست هستند.
2 هر دو عبارت $P_1$ و $P_2$، نادرست هستند.
3 $P_1$ درست است، ولی $P_2$ نادرست است.
4 $P_1$ نادرست است، ولی $P_2$ درست است.
 گزینه 1 صحیح است.
$P_1:a\wedge b\models a\vee b$
$a\wedge b\Rightarrow a\vee b$
 
 
عبارت $a\wedge b \Rightarrow a\vee b$ تاتولوژی می‌باشد.
درنتیجه: $a\wedge b\models a\vee b$
$a$ $b$ $a\wedge b$ $a\vee b$ $a\wedge b\Rightarrow a\vee b$
د د د د د
د غ غ د د
غ د غ د د
غ غ غ غ د

 
 
برای $P_2$ داریم $a\wedge b\Rightarrow a\wedge b$ که مشخص است تاتولوژی می‌باشد درنتیجه گزینه 1 صحیح است.
$a\wedge b\Rightarrow a\wedge b$ $a\wedge b$
د د
د غ
متوسط کدام مورد، درست است؟ الگوریتم های جستجوی آگاهانه
1 روش $SMA^*$ و $RBFS$، از استفاده کم از حافظه رنج می‌برند.
2 روش هزینه یکنواخت، یک حالت خاص از روش اول سطح است.
3 در روش $A^*$ ساختمان داده مجموعه کاندیداها (Fringe)، یک صف اولویت‌دار است.
4 برای حل مسائل ارضاء محدودیت با $n$ متغیر با روش پسگرد هزینه راه‌حل مستقل از مقدار $n$ می‌باشد.
 گزینه 3 صحیح است.
بررسی گزینه‌ها:
گزینه 1: الگوریتم RBFS امکان دارد از تمام حافظه‌ای که در اختیارش باشد استفاده نکند. SMA* سعی می‌کند از تمام حافظه در دسترس استفاده کند؛ درنتیجه این گزینه غلط است.
گزینه 2: BFS یک حالت خاصی از UCS است که در آن هزینه تمام مسیرها برابر 1 می‌باشد.
گزینه 3: درست است.
گزینه 4: غلط است.
آسان در یک درخت جست‌و‌جو، اگر هزینه راه‌حل بهینه $C^*$ و حداقل هزینه گام $\mathrm{\epsilon }$ باشد، نسبت $\left\lceil \frac{C^*}{\epsilon }\right\rceil $، به‌جای کدام پارامتر زیر استفاده می‌شود؟ الگوریتم های جستجوی ناآگاهانه
1 ضریب انشعاب $b$
2 عمق کم‌عمق‌ترین گره هدف $d$
3 ضریب انشعاب مؤثر $b^*$
4 حداکثر عمق درخت $m$
گزینه 2 صحیح است.
مشخصاً راه‌حل بهینه $C^*$ مجموع هزینه گام‌ها برای رسیدن به کم‌عمق‌ترین گره هدف می‌باشد که اگر $\mathrm{\epsilon }$ را برابر حداقل هزینه گام درنظر بگیریم $\left\lceil \frac{C^*}{\epsilon }\right\rceil $، متناسب با تعداد گام به کم‌عمق‌ترین گره هدف است که نشان‌دهنده‌ی عمق کم‌عمق‌ترین گره هدف می‌باشد.
گزینه 2 صحیح است.

آشنایی با درس هوش مصنوعی

درس هوش مصنوعی به بررسی مبانی و پایه علم هوش مصنوعی و ایده‌های اولیه می‌پردازد. وجود ۸ تست از این درس در کنکور نشان از اهمیت بالای آن است. می‌توانید اطلاعات بیشتری درباره این درس در صفحه درس هوش مصنوعیدرس هوش مصنوعیدرس هوش مصنوعیاین صفحه عالی به معرفی درس هوش مصنوعی از جمله پیش نیازهای درس هوش مصنوعی، سرفصل و منابع درس هوش مصنوعی و فیلم‌های آموزشی درس هوش مصنوعی پرداخته شده کسب کنید. همچنین برای آشنایی با تست‌های این صفحه می‌توانید صفحه دوره نکته و تست هوش مصنوعینکته و تست هوش مصنوعینکته و تست هوش مصنوعیبهترین دوره نکته و تست هوش مصنوعی کشور در این صفحه معرفی و ویژگی‌ها و اهمیت دوره نکته و تست هوش و نحوه استفاده از نکته و تست هوش مصنوعی گفته شده را مطالعه کنید.

روش‌ های دسترسی به پاسخ تشریحی هوش مصنوعی کنکور

برای دسترسی به پاسخ تشریحی درس هوش مصنوعی از اولین سال برگزاری تا سال ۱۴۰۳ دو روش برایتان مهیا کرده‌ایم:

دوره نکته و تست هوش مصنوعی

دوره نکته و تست درس هوش مصنوعی علاوه بر حل تمامی تست‌ها به‌صورت تشریحی، به نکات کلیدی اشاره کرده است که به حل سریع‌تر تست‌‌ها کمک می‌کند. برای کسب اطلاعات بیشتر و ثبت‌نام در دوره نکته و تست این درس به دوره نکته و تست هوش مصنوعی مراجعه کنید.

دوره نکته و تست هوش مصنوعی

پلتفرم آزمون درس هوش مصنوعی

پلتفرم آزمون و بانک تست و مجموعه سوالات کنکور ارشد کامپیوتر، آی‌تی و علوم کامپیوتر

سیستم قدرتمند آزمون کنکور کامپیوتر - اولین و تنها سیستم آزمون رشته کامپیوتر داوطلبین کنکور ارشد کامپیوتر، آی‌تی و علوم کامپیوتر، با این پلتفرم نیازی به تهیه هیچ کتابی ندارید، بهتر از هر کتاب مجموعه سوالات

امکانات پلتفرم

بیش از 9000 تست تالیفی و کنکور
پاسخ تشریحی تست‌های 24 سال اخیر کنکور ارشد کامپیوتر و آی‌تی
پاسخ تشریحی تست‌های 15 سال اخیر کنکور ارشد علوم کامپیوتر
بیش از 2000 سوال تالیفی از مراجع با پاسخ تشریحی
شبیه سازی کنکورهای سراسری سال‌های گذشته
منتخب کردن تست‌ها قبل، بعد و در حین آزمون
فیلترهای فوق هوشمند برای انتخاب سوالات
ایجاد آزمون از هر فصل یا از هر درس
ایجاد آزمون واش بک و فیدبک
همچنین آماده شده برای کنکورهای کاردانی کامپیوتر و دکتری هوش مصنوعی

 پلتفرم آزمون علاوه بر تمامی تست‌های سال‌های گذشته ویژگی‌های متمایز‌کننده دیگری نیز دارد، مانند رقابت با سایر دانشجویان، دسترسی به سؤالات تألیفی، امکان ایجاد آزمون شخصی‌سازی شده و…. برای آشنایی بیشتر با پلتفرم آزمون و ثبت‌نام در آن، به صفحه پلتفرم آزمون کنکور کامپیوتر مراجعه کنید.

جمع‌بندی

این مقاله به بررسی دو روش برای دسترسی به پاسخ تشریحی تست‌ های کنکور هوش مصنوعی پرداخته است: استفاده از دوره نکته و تست هوش مصنوعی و استفاده از  پلتفرم آزمون . امیدواریم این مقاله برای شما مفید بوده باشد.

چگونه می‌ توانم به پاسخ تشریحی تست‌ های کنکور هوش مصنوعی دسترسی داشته باشم؟

دو روش برایتان مهیا شده است: (۱) استفاده از دوره نکته و تست هوش مصنوعی و (۲) استفاده از پلتفرم آزمون

من به مباحث درسی هوش مصنوعی تسلط کافی ندارم. آیا می‌‌ توانم از این روش‌ ها استفاده کنم؟

بله. شما می‌توانید با استفاده از دوره درس هوش مصنوعی به مباحث درسی مسلط شوید، سپس از روش‌های بیان شده برای تمرین و تست استفاده کنید.

همچنین هر گونه سوالی در مورد کلاس‌های آنلاین کنکور کامپیوتر و یا تهیه فیلم‌ها و یا رزرو مشاوره تک جلسه‌ای تلفنی با استاد رضوی دارید می‌توانید به طرق زیر از تیم پشتیبانی بپرسید:

آی دی تلگرام تیم پشتیبانی:     konkurcomputer_admin@

شماره تیم پشتیبانی:   09378555200

امتیازدهی5 1 1 1 1 1 1 1 1 1 15.00 امتیاز (2 رای)
اشتراک
بارگذاری نظرات
تلگرام اینستاگرام تماس با پشتیبانی: 09378555200 تماس با پشتیبانی: 09378555200