اگر میخواهید تستهای کنکور ارشد را حل کنید، مطمئناً نیاز به یک پاسخنامه تشریحی مرجع برای مقایسه با جواب خودتان دارید. در این مقاله به بررسی پاسخ تشریحی کنکور ارشد فناوری اطلاعات ۱۳۹۹ میپردازیم و روشهایی را معرفی میکنیم که میتوانید با استفاده از آنها، به پاسخ تشریحی این تستها دسترسی داشته باشید. همچنین نحوه دسترسی به کلید کنکور ارشد فناوری اطلاعات ۱۳۹۹ و سایر سالها را بیان خواهیم کرد.

روش های دسترسی به جواب تشریحی تست های کنکور ارشد فناوری اطلاعات ۱۳۹۹
جهت دسترسی به پاسخ نامه تشریحی تست های کنکور ارشد فناوری اطلاعات میتوانید از یکی از روشهای زیر استفاده کنید:
روش اول: استفاده از پلتفرم آزمون کنکور کامپیوتر
استفاده از پلتفرم آزمون علاوه بر دسترسی بهتمامی تستهای یک درس به همراه پاسخ تشریحی، امکان ایجاد آزمونهای شبیهسازی شده، رقابت با سایر دانشجویان و… نیز خواهید داشت. برای کسب اطلاعات بیشتر درباره پلتفرم آزمون میتوانید به صفحه پلتفرم آزمون مراجعه کنید.

بهعنوان نمونه، میتوانید پاسخ های تشریحی تستهای کنکور آیتی ۱۳۹۹ پلتفرم آزمون برای درسهای ساختمان داده و الگوریتمآموزش ساختمان داده و الگوریتم
هر ساختمان داده یک نوع فرمت ذخیرهسازی و مدیریت دادهها در کامپیوتر است، که امکان دسترسی و اصلاح کارآمد آن دادهها را برای یکسری از الگوریتمها و کاربردها فراهم میکند، در این صفحه به بررسی و آموزش ساختمان داده و الگوریتم پرداخته شده است، هوش مصنوعیدرس هوش مصنوعی
این صفحه عالی به معرفی درس هوش مصنوعی از جمله پیش نیازهای درس هوش مصنوعی، سرفصل و منابع درس هوش مصنوعی و فیلمهای آموزشی درس هوش مصنوعی پرداخته شده، پایگاه دادهدرس پایگاه داده ⚡️ پایگاه داده کنکور ارشد کامپیوتر و آی تی
این مقاله عالی توضیح داده که درس پایگاه داده چیست و چه کاربردهایی دارد و منابع و سرفصل های درس پایگاه داده در آزمون کنکور ارشد کامپیوتر و آی تی را بررسی کرده
و ریاضیات گسستهجامع ترین آموزش درس ریاضی گسسته
درس ریاضیات گسسته به معرفی مباحثی نظیر شمارش و احتمال، استدلال و برهان خلف، نظریه اعداد، منطق ریاضی، روابط بازگشتی، روابط و نظریه گراف میپردازد. از آن رو که در عصر کنونی ریاضی گسسته بطور گسترده در رشته کامپیوتر و برنامه نویسی استفاده میشود در این صفحه به معرفی و بررسی درس ریاضی گسسته پرداخته شده است و ... را در زیر مشاهده کنید.
تست های درس هوش مصنوعی کنکور فناوری اطلاعات ۱۳۹۹ به همراه پاسخ تشریحی
دشوار
در مسئله CSP با چهار متغیر $\mathrm{X}_\mathrm{4}$، $\mathrm{X}_\mathrm{3}$، $\mathrm{X}_\mathrm{2}$، $\mathrm{X}_\mathrm{1}$ و گراف محدودیت (که هر لینک آن محدودیت یکسان نبودن مقدار متغیرهای دو سر آن لینک را نشان میدهد) مشخص شده است. دامنهی متغیرها هم کنار آنها نشان داده شده است. بعد از اعمال AC3 دامنهی متغیرها به چه صورت درمیآید؟
مسائل ارضای محدودیت
1 $\begin{matrix}\begin{matrix}\mathrm{D}_{\mathrm{X}_\mathrm{1}}=\ \left\{\ \right\}\ \ \ \ \ \ \ \ \ \\\mathrm{D}_{\mathrm{X}_\mathrm{2}}=\ \left\{\mathrm{a,\ b,\ c}\right\}\\\end{matrix}\\\mathrm{D}_{\mathrm{X}_\mathrm{3}}=\ \left\{\mathrm{a,\ b,\ c}\right\}\\\mathrm{D}_{\mathrm{X}_\mathrm{4}}=\ \left\{\mathrm{a,\ b,\ c}\right\}\\\end{matrix}$
2 $\begin{matrix}\begin{matrix}\mathrm{D}_{\mathrm{X}_\mathrm{1}}=\ \left\{\mathrm{b}\right\}\ \ \ \\\mathrm{D}_{\mathrm{X}_\mathrm{2}}=\ \left\{\mathrm{a,\ c}\right\}\\\end{matrix}\\\mathrm{D}_{\mathrm{X}_\mathrm{3}}=\ \left\{\mathrm{a,\ c}\right\}\\\mathrm{D}_{\mathrm{X}_\mathrm{4}}=\ \left\{\mathrm{b}\right\}\ \ \ \\\end{matrix}$
3 $\begin{matrix}\begin{matrix}\mathrm{D}_{\mathrm{X}_\mathrm{1}}=\ \left\{\mathrm{b}\right\}\ \ \ \ \ \ \ \ \\\mathrm{D}_{\mathrm{X}_\mathrm{2}}=\ \left\{\mathrm{a,\ c}\right\}\ \ \ \ \\\end{matrix}\\\mathrm{D}_{\mathrm{X}_\mathrm{3}}=\ \left\{\mathrm{a,\ c}\right\}\ \ \ \ \\\mathrm{D}_{\mathrm{X}_\mathrm{4}}=\ \left\{\mathrm{a,\ b,\ c}\right\}\\\end{matrix}$
4 خروجی بستگی به ترتیب گذاشتن آرکها در صف دارد.
گزینه 3 صحیح است.
الگوریتم AC-3 معروفترین الگوریتم سازگاری کمان است که میتواند در زمان پیش پردازش یا اجرا اعمال شود. روش کار این الگوریتم در حالت پیش پردازش به این صورت است که در مرحله اول همه کمانهای مسئله در یک صف قرار میگیرند و سپس تا زمانی که صف خالی نشده است موارد زیر را اجرا میکنیم :
یک یال از صف برداشته ($x \rightarrow y$) و مقادیر دامنه x که باعث ناسازگاری کمان میشوند از دامنه x حذف شده و همه کمانهایی که به x وارد میشوند مجددا به صف اضافه میشوند.
در این الگوریتم در حالت پیش پردازش در صورتی که دامنه تهی برای یکی از گرهها مشاهده شود با ناسازگاری مواجه میشویم و الگورتیم متوقف میشود اما در حالتی که در حین اجرا این الگوریتم روی مسئله cps اعمال میشود اگر دامنه تهی مشاهده شود باید عقبگرد انجام شود تا حالتهای دیگر مقداردهی به گرهها نیز بررسی شوند. در این صورت بسته به اینکه در چه مرحلهای باشیم قدم بعدی هنگام مواجه به دامنهی تهی میتواند عقبگرد یا توقف باشد.
در مسئله داده شده ، این الگوریتم را در حالت پیش پردازش اجرا میکنیم. ابتدا کمان $x_2 \rightarrow x_1$ را در نظر میگیریم. در این حالت فقط مقدار b از دامنه $x_2$ است که باعث ناسازگاری میشود پس این مقدار را از دامنه $x_2$ حذف میکنیم. پس از آن کمان $x_3 \rightarrow x_1$ را بررسی میکنیم. در این حالت نیز مشابه حالت قبلی فقط مقدار b از دامنه $x_3$ حذف میشود. در مرحله بعد با بررسی کمان $x_3 \rightarrow x_2$ هیچ مقدار حذف نمیشود چرا که به ازای هر مقداردهی به یک سر این یال مقدار معتبری برای سر دیگر این یال وجود دارد. یالهای $x_3 \rightarrow x_4$ و $x_2 \rightarrow x_4$ نیز به همین دلیل باعث حذف هیچ مقداری از دامنه متغیرها نمیشوند. مقدارهای باقیمانده برای هر کدام از متغیرها با توجه به توضیحات بالا معادل گزینه سوم میباشد.
آسان
در مورد مسائل جستجویی که در آنها هزینه کنشها برابر یک و هزینه مسیر بهینه برابر d و فاکتور انشعاب (branching factor) برابر b است، کدام گزینه درست است؟
الگوریتم های جستجوی ناآگاهانه
1 مرتبهی حافظه DFS با محدودیت عمق l برابر o(bd) است.
2 روش DFS با محدودیت عمق l در حالتی که l = d است، یک روش بهینه است.
3 روش DFS با محدودیت عمق l در حالتی که $\mathrm{l\ \lt \ d}$ است، یک روش کامل (complete) است.
4 زمان روش DFS با محدودیت عمق $\mathrm{l\ \lt \ d}$ در تحلیل بدترین حالت (worst case) برابر با زمان BFS است.
گزینه 2 صحیح است.
گزینه ۱ : مرتبه حافظه روش DFS با محدودیت عمق l معادل $O(bl)$ میباشد که در حالت عقبگرد قابلیت کاهش به $O(l)$ را نیز دارد.
گزینه ۲ : روش DFS با محدودیت عمق l در صورتی که l=d باشد و هزینه همه یالها یکسان باشد یا یالهای هم سطح مقدار یکسان داشته باشند بهینه است پس این گزینه درست است.
گزینه ۳ : این روش در حالت $l \ge d$ کامل است.
گزینه ۴ : مرتبه زمانی DFS در بدترین حالت برابر با $O(b^l)$ و مرتبه زمانی BFS برابر $O(b^d)$ میباشد و از آنجایی که در این گزینه اشاره شده است که $I \lt d$ است پس زمان BFS بدتر از DFS است.
دشوار
در مورد روش \( {A}^* \) که در آن f(n) = g(n) + h(n) درنظر گرفته میشود و هزینه همۀ کنشها بزرگتر از صفر است، کدام مورد نادرست است؟
الگوریتم های جستجوی آگاهانه
1 اگر h تابعی consistent باشد، مقدار f گره جدیدی که به صف اضافه میشود نمیتواند از f همهی گرههای موجود در صف کمتر باشد.
2 اگر h تابعی admissible باشد، برای گرهای که برای گسترش انتخاب میشود، مسیر بهینه تا آن گره بهدست آمده است.
3 اگر h تابعی consistent باشد و مقدار f گرهای از مقدار f همهی گرههای موجود در صف بزرگتر باشد ممکن است آن گره به صف اضافه شود.
4 اگر h تابعی admissible باشد، ممکن است مقدار f گرههایی که در ادامه در صف قرار میگیرند کمتر از مقدار f گرههای موجود در صف باشد.
گزینه 2 صحیح است.
نکات :
در صورتی که هیوریستیک سازگار باشد در هر مرحله وقتی یک گره برای بسط انتخاب میشود یعنی مسیر بهینه مبدا تا آن گره محاسبه شده است اما این نکته برای حالتی که تابع قابل قبول باشد لزوما برقرار نیست چرا که در این روش مقدار یک گره چند بار بروزرسانی شود.
در صورتی که هیوریستیک سازگار باشد مقدار f غیرکاهشی است.
با توجه به نکته اول گزینه دوم نادرست است و پاسخ سوال میباشد. گزینه اول و سوم از آنجایی که گفته شد مقدار f غیرکاهشی است برقرار است. گزینه چهارم نیز درست است چون h تابعی قابل قبول است و لزوما شرط غیرکاهشی بودن f برای آن برقرار نیست و عبارت گزینه چهارم ممکن است اتفاق بیفتد.
آسان
با استفاده از هرس آلفا- بتا کدام نودها در درخت بازی زیر هرس میشوند؟
بازی های رقابتی
1 N - Q - U
2 N - Q - J - T - U
3 D - I - J - R - S - T - U
4 H - J - N - P - Q - T - U
گزینه 4 صحیح است.
اولین هرس در این درخت وقتی است که مقدار آلفا متناظر با گره F از مقدار بتا متناظر با گره B بزرگتر میشود و گره N هرس میشود. در مرحله بعدی شرط هرس پس از تنظیم مقدار آلفا و بتا برای گرههای G و C برقرار میشود و گرههای H, P, Q هرس میشوند. در زیرشاخه سوم ریشه نیز پس از تنظیم مقدار آلفا و بتا برای گرههای I و D شرط هرس برقرار شده و گرههای J, T, U هرس میشوند.
دشوار
فرم CNF جملۀ داده شده کدام است؟
منطق گزارهای
$\left[\lnot\left(\mathrm{Q\ \Rightarrow\ P}\right)\right]\Leftrightarrow\mathrm{P}\ $
1 $\mathrm{\lnot Q}\ $
2 $\mathrm{\lnot}Q\ \land\lnot P\ $
3 $\left(\mathrm{Q\ \vee\ }\lnot P\right)\land\left(\mathrm{\lnot}Q\ \vee\mathrm{P}\right)$
4 $\left(\mathrm{Q\ \vee\ }\lnot P\right)\land\left(\mathrm{\lnot}Q\ \vee\mathrm{P}\right)\land\mathrm{P}$
گزینه 2 صحیح است.
فرم CNF در واقع عطف عبارات فصلی میباشد. در ادامه مراحل تبدیل عبارت داده شده در این سوال به فرم CNF آمده است.
$\neg (Q\ \Rightarrow \ P) \Leftrightarrow P \\ \ \neg (\neg Q\ \vee \ P) \Leftrightarrow P \\ Q\wedge \neg \ P\Leftrightarrow P$
برای ساده سازی عبارت دو طرفه میتوان از قانون $A\mathrm{\Leftrightarrow }\mathrm{\ B\ \ \ }\mathrm{\equiv }\mathrm{\ \ (A}\mathrm{\wedge }\mathrm{B)}\ \mathrm{\vee }\ (\mathrm{\neg }\mathrm{A}\mathrm{\wedge }\mathrm{\neg }\mathrm{B})$ استفاده کرد.
$\left(\mathrm{Q}\mathrm{\wedge }\mathrm{\neg }\ \mathrm{P}\mathrm{\wedge }~P\right)\mathrm{\vee }\left(\mathrm{\neg }\ \mathrm{(Q}\mathrm{\wedge }\mathrm{\neg }\ \mathrm{P)}\mathrm{\wedge }\ \mathrm{\neg }P\right)$ $=$ $\left(\mathrm{\neg }~\mathrm{(Q}\mathrm{\wedge }\mathrm{\neg }~\mathrm{P)}\mathrm{\wedge }\ \mathrm{\neg }P\right)$
$\mathrm{\ (}\mathrm{\neg Q }\mathrm{\vee }\ \mathrm{P}\mathrm{)}\mathrm{\wedge }\ \mathrm{\neg }P$
$\mathrm{\neg Q}\mathrm{\wedge }~\mathrm{\neg }P$
در این سوال چون دو متغیر داریم میتوانستیم جدول درستی عبارت داده شده را نیز رسم کنیم و ببینیم که کدامیک از گزینهها منطبق با آن است.
دشوار
در مجموعهی قوانین زیر به عنوان پایگاه دانش $(KB)$، در کدام گزینه $α$#$KB$ برقرار است؟
منطق مرتبه اول
$\mathrm{\forall }\mathrm{x}\mathrm{\exists }\mathrm{y\ \ P}\left(\mathrm{x\ ,\ y}\right)\mathrm{\Rightarrow }\mathrm{q}\left(\mathrm{x\ ,\ y}\right)\mathrm{\ }$
${\forall }\mathrm{x}\mathrm{\exists }\mathrm{y\ \ r}\left(\mathrm{x}\right)\mathrm{\vee }\mathrm{q}\left(\mathrm{x\ ,\ y}\right)$
${\forall }\mathrm{x\ \ \ }\mathrm{\forall }\mathrm{y\ \ }\mathrm{\exists }\mathrm{z\ \ \neg q}\left(\mathrm{x\ ,\ y}\right)\mathrm{\wedge }\mathrm{s}\left(\mathrm{y\ ,\ z}\right)$
${\forall }\mathrm{y\ \ \ }\mathrm{\forall }\mathrm{z\ \ s}\left(\mathrm{y\ ,\ z}\right)\mathrm{\Rightarrow }\mathrm{w}\left(\mathrm{z}\right)$
$F(.)$ تابعی را نشان میدهد که برای Skolemkization استفاده شده است.
1 $α{\ :}\mathrm{\forall }\mathrm{z\ \ w}\left(\mathrm{z}\right)$
2 $α{\ :}\mathrm{\forall }\mathrm{x\ \ r}\left(\mathrm{x}\right)$
3 $α {\ :\ }\mathrm{\forall }\mathrm{x\ }\mathrm{\forall }\mathrm{y\ \neg q}\left(\mathrm{x\ ,\ y}\right)$
4 $α {\ :\ }\mathrm{\forall }\mathrm{x\ \ \ \ \neg p}\left(\mathrm{x\ ,\ F}\left(\mathrm{x}\right)\right)$
گزینه صحیح 1 است.
در واقع این سوال به دنبال گزینهای است که قابل نتیجهگیری از روی پایگاه دانش نباشد. (عبارت # بکار رفته در صورت سوال معادل $\nvdash $ میباشد)
گزینه ۱ : این گزینه قابل نتیجهگیری از روی پایگاه دانش نیست و در مورد w فقط میدانیم که $\forall y \ \ \forall z \ \ s(y\ ,\ z)\Rightarrow w(z)$ برقرار است.
گزینه ۲ : درخت زیر مراحل نتیجهگیری این گزاره از پایگاه دانش را نشان میدهد.
گزینه ۳ : عبارت این گزینه را که به صورت مستقیم در عبارت سوم پایگاه دانش داریم که با یک عبارت دیگر and شده است اما میتوان نتیجه گرفت که هر دو این عبارات برقرار هستند.
گزینه ۴ : با سادهسازی عبارت اول پایگاه دانش و جایگذاری تابع اسکالم به جای آن داریم :
$\mathrm{\forall }\mathrm{x}\mathrm{\exists }\mathrm{y}\ \ \mathrm{P}\left(\mathrm{x}\ ,\ \mathrm{y}\right)\mathrm{\Rightarrow }\mathrm{q}\left(\mathrm{x}\ ,\ \mathrm{y}\right)$
$\mathrm{\forall }\mathrm{x}\ \ \mathrm{P}\mathrm{(}\mathrm{x}\ ,F(x)\mathrm{)}\mathrm{\Rightarrow }\mathrm{q}\mathrm{(}\mathrm{x}\ ,\ \mathrm{F(x)}\mathrm{)}$
$\mathrm{\forall }\mathrm{x}\ \mathrm{\ }\mathrm{\neg P}\mathrm{(}\mathrm{x}\ ,F(x)\mathrm{)}\mathrm{\vee }\mathrm{q}\mathrm{(}\mathrm{x}\ ,\ \mathrm{F(x)}\mathrm{)}$
با استفاده از عبارت بالا و اعمال قاعده رزولوشن داریم :
آسان
برای شبکه باور بیزی زیر، احتمال شرطی معادل با تابع توزیع توأم متغیرها کدام است؟
عدم قطعیت
1 $\mathrm{P}\left(\mathrm{A}\right).P\left(\mathrm{B} \middle|\mathrm{A}\right).P\left(\mathrm{C} \middle|\mathrm{A}\right).\ \ P\left(\mathrm{D} \middle|\mathrm{A}\right)$
2 $\mathrm{P}\left(\mathrm{A}\right).P\left(\mathrm{B} \middle|\mathrm{C}\right).P\left(\mathrm{C} \middle|\mathrm{D}\right).\mid P\left(\mathrm{D} \middle|\mathrm{A}\right)$
3 $\mathrm{P}\left(\mathrm{B}\middle|\mathrm{A}\right).P\left(\mathrm{C} \middle|\mathrm{A\ ,\ B}\right).P\left(\mathrm{D} \middle|\mathrm{A,\ B,\ C}\right).P\left(\mathrm{A}\right)$
4 $\mathrm{P}\left(\mathrm{A}\middle|\mathrm{B,\ C,\ D}\right).P\left(\mathrm{B\ \ C\ ,\ D}\right).P\left(\mathrm{C} \middle|\mathrm{D}\right).P\left(\mathrm{D}\right)$
گزینه 3 صحیح است.
تابع احتمال توزیع توأم را میتوان از روی شبکه باور بیزی نوشت به این صورت که از حاصلضرب هر متغیر به شرط پدرانش این تابع ساخته میشود. بر این اساس تابع متناظر با شبکه داده شده به صورت زیر است :
$P(A,B,C,D)=P(B|A).P(C|A,B).P(D|A,B,C).P(A)$
تست های درس پایگاه داده کنکور فناوری اطلاعات ۱۳۹۹ به همراه پاسخ تشریحی
متوسط
فرض کنید pk(R) کلید اصلی رابطه R را نشان میدهد. در مورد یک ارتباط چند به یک که بین دو رابطه $R_1$ و $R_2$ وجود دارد، کدام گزینه صحیح است؟
طراحی پایگاه داده
1 $pk(R_2) \to pk(R_1)$
2 $pk(R_1) \to pk(R_2)$
3 $pk(R_\mathrm{2})\rightarrow R_\mathrm{1}\cap R_\mathrm{2}$
4 $pk(R_\mathrm{1})\rightarrow R_\mathrm{1}\cap R_\mathrm{2}$
ارتباط چند به یک است بنابراین کلید کاندید $R_2$ در $R_1$ بهصورت کلید خارجی تعریف میشود. با توجه به این موضوع کلید $R_2$ وابستگی تابعی به کلید $R_1$ دارد زیرا به ازای هر کلید $R_1$ تنها یک کلید $R_2$ مرتبط به آن وجود دارد. بنابراین گزینه 2 صحیح است.
دشوار
در مورد رابطۀ $R(A,B,C,D,E)$ مجموعه وابستگیهای تابعی زیر بهدست آمده است:
طراحی پایگاه داده
$F = \{A \to B , A \to C , CD \to E , B \to D , E \to A\}$
باتوجه به این مجموعه وابستگیهای تابعی، کدام وابستگی تابعی زیر را نمیتوان استنتاج کرد؟
1 $BD \to CD$
2 $CD \to AC$
3 $BC \to CD$
4 $AC \to BC$
گزینه 1: $B\rightarrow D$ از BD فقط به همان BD میتوان رسید، بنابراین جواب گزینه 1 است.
گزینه 2:
$CD\to E\Rightarrow \left. \begin{array}{c}
E\to A \\
C\to C \end{array}
\right\}\Rightarrow CD\to AC
$
گزینه 3:
$\left. \begin{array}{c}
B\to D \\
C\to C \end{array}
\right\}\Rightarrow BC\to CD
$
گزینه 4:
$\left. \begin{array}{c}
\ \ \ \ \ \ \ \ \ \ \ \ \ \ \ \ A\to B \\
C\to C\ یا\ A\to C \end{array}
\right\}\Rightarrow AC\to BC
$
دشوار
شمای رابطهای $R(A,B,C,D,E,P,G)$ را در نظر بگیرید که در آن وابستگیهای تابعی زیر برقرار است:
طراحی پایگاه داده
$F = \{AB \to CD , DE \to P , C \to E , P \to C , B \to G\}$
باتوجه به وابستگیهای تابعی فوق، کدام گزینه در مورد رابطه R برقرار است؟
1 رابطه R در شکل نرمال 2NF است، اما به شکل 3NF نیست.
2 رابطه R در شکل نرمال 3NF است، اما به شکل BCNF نیست.
3 رابطه R در شکل نرمال 2NF نیست.
4 رابطه R در شکل نرمال BCNF است.
AB در سمت راست رابطه وجود ندارد. بنابراین قطعاً جزئی از کلید میباشند.
بررسی AB برای کلید کاندید:
$\left. \begin{array}{c}
AB\to CD \\
B\to G \end{array}
\right\}\Rightarrow \left. \begin{array}{c}
\left\{A,B,C,D,G\right\} \\
C\to E \end{array}
\right\}\Rightarrow \left. \begin{array}{c}
\left\{A,B,C,D,G,E\right\} \\
DE\to P \end{array}
\right\}\Downarrow $
به کل خصیصههای R رسیدیم بنابراین AB کلید کاندید این رابطه است همچنین در این رابطه [غیرکلید (G) $\rightarrow$ جزء کلید (B)] داریم بنابراین رابطه نرمال 2NF نیست.
آسان
دستور ON UPDATE CASCADE، باعث میشود در مورد کدام گزینه اطمینان حاصل کنیم؟
زبان و پرس و جوی SQL
$F = \{AB \to CD , DE \to P , C \to E , P \to C , B \to G\}$
باتوجه به وابستگیهای تابعی فوق، کدام گزینه در مورد رابطه R برقرار است؟
1 دیدهای ذخیره شده
2 نرمال بودن دادهها
3 یکپارچگی دادهها
4 تمام موارد بالا
در دستور ON UPDATE CASCADE باعث میشود بعد از هر بروزرسانی در مقدار مرجع، مقدار ستون مربوطه هم بروزرسانی شود و از یکپارچگی دادهها اطمینان حاصل کنیم. بنابراین گزینه 3 صحیح است.
دشوار
رابطههای (A,B)R1 و (C,D)R2 را در نظر بگیرید. کدام گزینه برقرار باشد، خروجی عبارت SQL زیر همان رابطه R1 است؟
زبان و پرس و جوی SQL
Select Distinct A, B from R1 , R2
1 R1 هیچ تاپل تکراری ندارد و R2 تهی نیست.
2 R2 هیچ تاپل تکراری ندارد و R1 تهی نیست.
3 R1 هیچ تاپل تکراری ندارد و R2 تهی است.
4 هم R1 و هم R2 هیچ تاپل تکراری ندارند.
اگر $R_2$ یا $R_1$ تهی باشد بعد از join حاصل همان تهی میشود بنابراین $R_1$ میتواند تهی باشد ولی باید $R_2\neq\emptyset$ باشد و اگر $R_1$ تاپل تکراری داشته باشد دستور Distinct روی آن اثر کرده و باعث میشود تکراریها در خروجی نمایش داده نشوند، در نتیجه با حذف تکراریها خروجی با $R_1$ متفاوت میشود بنابراین $R_1$ نباید تاپل تکراری داشته باشد. بنابراین گزینه 1 صحیح است.
متوسط
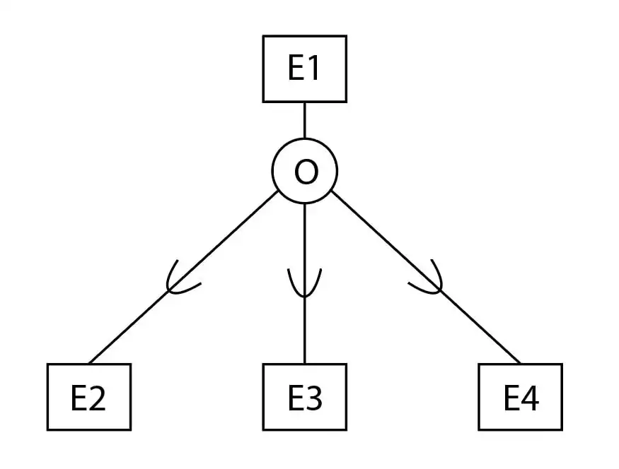
نمونههایی از چهار موجودیت $E_1$، $E_2$، $E_3$ و $E_4$ در شکل زیر نمایش داده شده است. کدام گزینه بهترین نمودار EER معرف محیط است؟
طراحی پایگاه داده
1
2
3
4
تمام رکوردهای پدر $\left(E_1\right)$ با فرزندان در رابطه هستند بنابراین رابطه از نوع کامل (Total) است از طرفی رکورد $i_1$ در پدر همزمان با 2 فرزند رابطه دارد و همپوشانی دارد.
گزینه 4 صحیح است.
تست های درس ریاضیات گسسته کنکور فناوری اطلاعات ۱۳۹۹ به همراه پاسخ تشریحی
آسان
ضریب $xyzuv$ در بسط $(x+y+z+u+{v)}^\mathrm{5}$ چند است؟
شمارش، مجموعهها، توابع
1 1
2 5
3 24
4 120
بسط $(x+y+z+u+{v)}^\mathrm{5}$ تشکیل شده از ضرب پنج پرانتز $(x+y+z+u+v)$ میباشد که برای ایجاد xyzuv باید هر حرف از یک پرانتز انتخاب شود. مجموع حالاتی که عبارت xyzuv تشکیل میشود برابر است با جایگشت انتخاب این حروف از این ۵ پرانتز چون ۵ پرانتز و ۵ حرف متفاوت داریم این مقدار برابر است با:
$5!=5 \times 4 \times 3 \times 2 \times 1 =120$
ضریب xyzuv حاصل جمع تمام xyzuvها است که چون 120 تا از این عبارت داریم ضریب آن 120 میشود.
آسان
فرض کنید G یک گراف جهت دار n رأسی با حداقل 5 رأس است، که بین هر دو رأس متمایز آن دقیقا یک یال جهت دار وجود دارد . چند تا از گزارههای زیر در خصوص G همیشه صحیح است؟
گراف و درخت
- دارای حداقل یک دور جهت دار است.
- G مسیر اویلری است.
- G دارای مسیر همیلتنی است.
1 0
2 1
3 2
4 3
به مثال زیر توجه کنید. در این مثال دو شرط سوال رعایت شده است.
همانطور که مشاهده میکنید در این مثال هیچ دوری وجود ندارد بنابراین عبارت اول نادرست است.
مسیر اویلری به مسیری گفته میشود که از تمام یالها عبور کرده و هیچ یالی را دو بار طی نکند در مثال بالا چنین مسیری وجود ندارد بنابراین عبارت دوم نیز نادرست است.
مسیر همیلتونی مسیری است که از تمام رئوس عبور کرده و هیچ رأسی را دوبار طی نکند. در شکل بالا چنین مسیری وجود دارد که برابر است با $0\to 1\to 2\to 3\to 4$. چون هیچ مثال نقضی وجود ندارد تا این عبارت رد شود بنابراین درست بوده و گزینه صحیح گزینه ۲ میباشد.
آسان
با توجه به دوگزاره زیر کدام گزینه صحیح است؟
شمارش، مجموعهها، توابع
الف- اگر g تابعی پوشا و f تابعی یک به یک باشد، آنگاه f o g پوشا است.
ب- اگر f و g توابعی پوشا باشند، آنگاه f o g پوشا است.
1 (الف) درست، (ب) درست
2 (الف) درست، (ب) نادرست
3 (الف) نادرست، (ب) درست
4 (الف) نادرست، (ب) نادرست
تابع پوشا تابعی است که به ازای هر عضو در مجموعه دوم عضوی در مجموعه اول وجود داشته باشد که با گذر از آن تابع به آن عضو میرسد.
تابع یک به یک تابعی است که هر عضو از مجموعه دوم تنها به یک عضو از مجموعه اول منتصب شده است.
الف)
دو تابع پوشا و یک به یک زیر را در نظر بگیرید (اولی پوشا):
ترکیب این دو تابع به ترتیب آمده در سؤال برابر است با:
همانطور که میبینید این تابع پوشا نیست بنابراین الف نادرست است.
ب) این عبارت درست است زیرا چون f پوشا است از هر عبارت در برد آن یک عبارت در دامنه آن وجود دارد و چون g پوشا است f تمام اعضای داخل دامنهاش را دریافت میکند. در نتیجه میتوان به هر عضو از برد fog از طریق یک ورودی رسید و این تابع پوشا است.
متوسط
اگر $w_n$ تعداد کلمات n حرفی متشکل از حروف a ، b و c باشد که تعداد زوجی a دارند، آن گاه کدام رابطه بازگشتی برای wn برقرار است؟
بازگشتیها
1 $w_n={\mathrm{4}w}_{n-\mathrm{1}}-{\mathrm{2w}}_{n-\mathrm{2}}$
2 $\ w_n={\mathrm{4}w}_{n-\mathrm{1}}-{\mathrm{3w}}_{n-\mathrm{2}}$
3 $\ w_n={\mathrm{2}w}_{n-\mathrm{1}}-{\mathrm{2w}}_{n-\mathrm{2}}$
4 $\ w_n={\mathrm{2}w}_{n-\mathrm{1}}+{\mathrm{2w}}_{n-\mathrm{2}}$
اگر ۱ حرف داشته باشیم برای اینکه تعداد aها زوج باشد آن یک حرف باید b یا c باشد بنابراین:
$w_1=2$
اگر ۲ حرف داشته باشیم آن دو حرف باید هر دو a باشند یا هیچکدام a نباشند:
$w_2=1+2^2=5$
اگر ۳ حرف داشته باشیم دو حرف باید a باشند حرف دیگر b یا c یا هیچ کدام از حروف a نباشند:
$w_3=\left(\genfrac{}{}{0pt}{}{3}{2}\right)\times 2+2^3=6+8=14$
اعداد بدست آمده را در چهار گزینه جایگزین میکنیم. با اینکار دو گزینه ۱ و ۳ رد میشوند. برای اینکه بین دو گزینه دیگر انتخاب کنیم یک مرحله جلوتر میرویم.
اگر ۴ حرف داشته باشیم:
· ۴ حرف a باشند: 1
· ۲ حرف از ۴ حرف a و دو حرف دیگر b یا c: $\left(\genfrac{}{}{0pt}{}{4}{2}\right)\times 2^2=24$
· هیچ کدام از حروف a نباشند: $2^4=16$
$w_4=1+24+16=41$
با جایگذاری در گزینه ۲ و ۴ داریم:
$41=4\times 14-3\times 5=41\ \ \ True$
$41=2\times 14+2\times 5\ \ \ \ False$
گزینه ۲ صحیح است.
متوسط
با توجه به دو گزاره زیر کدام گزینه صحیح است؟
روابط
الف- ترتیب اعمال بستار ترایایی و بازتابی روی یک رابطه، در رابطه نهایی بدست آمده تاثیری ندارد.
ب- ترتیب اعمال بستار ترایایی و تقارنی روی یک رابطه، در رابطه نهایی بدست آمده تاثیری ندارد.
1 (الف) درست، (ب) درست
2 (الف) درست، (ب) نادرست
3 (الف) نادرست، (ب) درست
4 (الف) نادرست، (ب) نادرست
منظور از بستار ترایایی (یا بازتابی یا تقارنی) کوچکترین رابطهای است که رابطه اولیه زیر مجموعه آن بوده و خاصیت گفته شده در رابطه نهایی وجود دارد.
خاصیت بازتابی: اگر حرف x در رابطه به کار رفته است باید عضو (x, x) در رابطه باشد.
خاصیت تقارنی: اگر (x, y) عضو رابطه است باید (y, x) نیز عضو رابطه باشد.
خاصیت ترایایی: اگر (x, y), (y, z) عضو رابطه هستند باید (x, z) نیز عضو رابطه باشد.
الف)
رابطه پایین را در نظر بگیرید:
$\{(1,2),(3,4),(2,3)\}$
اگر ابتدا بستار ترایایی و سپس بازتابی اعمال شود داریم:
$\left\{\left(1,\ 2\right),\ \left(3,\ 4\right),\ \left(2,\ 3\right)\left(1,\ 3\right)\right\}\to \{\left(1,\ 1\right),\left(2,\ 2\right),\ \left(3,\ 3\right),\ (4,\ 4),\ \left(1,\ 2\right),\ \left(3,\ 4\right),\ \left(2,\ 3\right),\ \left(1,\ 3\right)\}$
اگر ابتدا بستار بازتابی و سپس ترایایی اعمال شود داریم
$\left\{\left(1,1\right),\left(2,2\right),\ \left(3,3\right),\ \left(4,4\right),\ \left(1,\ 2\right),\ \left(3,4\right),\ \left(2,\ 3\right)\right\}\to \{\left(1,\ 1\right),\left(2,\ 2\right),\ \left(3,\ 3\right),\ (4,\ 4),\ \left(1,\ 2\right),\ \left(3,4\right),\ \left(2,\ 3\right),\ \left(1,\ 3\right)\}$
همانطور که مشاهده میکنید نتایج در هر دو ترتیب یکسان است و این یکسان بودن تنها به مثال آمده در اینجا محدود نمیشود، زیرا بستار بازتابی اعضایی به شکل (x, x) ایجاد میکند که در ترایایی رابطه تاثیری ندارند.
ب)
مثال نقض:
$\left\{\left(1,\ 2\right)\right\}$
اگر ابتدا بستار ترایایی و سپس تقارنی اجرا شود داریم:
$\left\{\left(1,\ 2\right)\right\}\to \{\left(1,\ 2\right),\ \left(2,\ 1\right)\}$
اگر ابتدا بستار تقارنی و سپس ترایایی بکار رود داریم:
$\left\{\left(1,\ 2\right),\ \left(2,\ 1\right)\right\}\to \{\left(1,\ 2\right),\ \left(2,\ 1\right),\ \left(1,\ 1\right)\}$
نتیجه نهایی دو ترتیب متفاوت است بنابراین این گزاره نادرست است.
آسان
چند تا از عملگرهای دودویی زیر در جبر گزارهها دارای خاصیت شرکت پذیری است؟
منطق
- $\vee$
- $\to$
- $xor$
- $\ (p_{nand}q=\ \sim(p\Lambda q))nand$
1 1
2 2
3 4
4 3
در ریاضیات، خاصیت شرکتپذیری (یا انجمنی) یک ویژگی برخی از عملیات دودویی است، که در آن جابهجایی پرانتزها در یک عبارت، نتیجه را تغییر نمیدهد. مثال:
$a*\left(b*c\right)=\left(a*b\right)*c$
برای اعمال داده شده داریم:
برای $\vee$
$\left(A~\vee B\right)\vee C=A\vee B\vee C=A\vee \left(B\vee C\right)$
برای $\to$
نکته: $A\to B=\overline{A}\vee B$
$\left(A\to B\right)\to C=\left(\overline{\overline{A}\vee B}\right)\vee C=\left(A\wedge \overline{B}\right)\vee C \\ A\to \left(B\to C\right)=\overline{A}\vee \left(\overline{\overline{B}\vee C}\right)=\overline{A}\vee \left(B\wedge \overline{C}\right) \\ \left(A\to B\right)\to C\neq A\to \left(B\to C\right)$
برای xor (به جای $\vee$ از $+$ و به جای $\wedge$ از $.$ استفاده میکنیم.)
$\left(A\ xor\ B\right)\ xor\ C=\left(\overline{A}B+A\overline{B}\right)\overline{C}+\left(\overline{\overline{A}B+A\overline{B}}\right)C=\overline{A}B\overline{C}+A\overline{B}\overline{C}+ABC+\overline{A}\overline{B}C$
$A\ xor\ \left(B\ xor\ C\right)=A\overline{\left(B\overline{C}+\overline{B}C\right)}+\overline{A}\left(B\overline{C}+\overline{B}C\right)=ABC+A\overline{B}\overline{C}+\overline{A}B\overline{C}+\overline{A}\overline{B}C$
$\to \left(A\ xor\ B\right)\ xor\ C=A\ xor\ \left(B\ xor\ C\right)$
برای nand:
$\left(A\ nand\ B\right)nand\ C=\overline{\overline{A\wedge B}\wedge C}=\left(A\wedge B\right)\vee \overline{C}$
$A\ nand\ \left(B\ nand\ C\right)=\overline{A\wedge \overline{B\wedge C}}=\overline{A}\vee \left(B\wedge C\right)$
$\to \left(A\ nand\ B\right)nand\ C\neq A\ nand\ \left(B\ nand\ C\right)$
دو عمل $\vee$ و xor شرکتپذیر میباشند.
روش دوم: استفاده از دورههای نکته و تست درس های کنکور فناوری اطلاعات
علاوه بر پوشش پاسخ تشریحی تمامی تستهای کنکور، دوره های نکته و تست، نکات و روشهایی را بیان میکنند که منجر به درک بهتر و حل سریعتر تستها میشود. با استفاده از لینکهای زیر میتوانید اطلاعات بیشتری درباره دورههای نکته و تست کسب کنید.
پاسخ نامه کنکور ارشد فناوری اطلاعات ۱۳۹۹
برای دسترسی به کلید نهایی دفترچههای کنکور فناوری اطلاعات میتوانید به صفحه دفترچه سوالات کنکور ارشد فناوری اطلاعاتدانلود رایگان دفترچه سوالات کنکور ارشد فناوری اطلاعات
دفترچه سوالات کنکورهای ارشد فناوری اطلاعات (آی تی) از اولین سال برگزاری تا کنکور 1403 به همراه کلید نهایی سازمان سنجش در این صفحه بصورت رایگان وجود دارد مراجعه کنید و پاسخنامه کلیدی تمامی کنکورهای آیتیمعرفی فناوری اطلاعات (IT) - 7 دلیل برای انتخاب رشته آی تی در دانشگاه
آی تی چیست و چگونه پس از ظهور توانست در مدت فقط 20 سال تمام دنیا را فرا بگیرد و اکثر پول دنیا را ببلعد و پرطرفدارترین و پر درآمدترین مشاغل دنیا را در بر گیرد، در این صفحه به بررسی این موضوعات پرداخته شده را بهصورت رایگان دانلود کنید.
پاسخ کلیدی کنکور ارشد فناوری اطلاعات ۱۳۹۹
در تصویر زیر میتوانید کلید نهایی سازمان سنجش برای کنکور ارشد آیتی ۱۳۹۹ را ملاحظه فرمایید. در واقع پاسخنامهای که سازمان سنجش برای هر دفترچه منتشر میکند است. برای دسترسی به کلید کنکور ارشد آیتی برای تمامی کنکورها میتوانید به صفحه دفترچه سوالات کنکور ارشد فناوری اطلاعاتدانلود رایگان دفترچه سوالات کنکور ارشد فناوری اطلاعات
دفترچه سوالات کنکورهای ارشد فناوری اطلاعات (آی تی) از اولین سال برگزاری تا کنکور 1403 به همراه کلید نهایی سازمان سنجش در این صفحه بصورت رایگان وجود دارد مراجعه کنید.
جمعبندی
آزمون کارشناسی ارشد مهندسی فناوری اطلاعات شامل سؤالات متنوعی از جمله ساختمان داده و الگوریتمآموزش ساختمان داده و الگوریتم
هر ساختمان داده یک نوع فرمت ذخیرهسازی و مدیریت دادهها در کامپیوتر است، که امکان دسترسی و اصلاح کارآمد آن دادهها را برای یکسری از الگوریتمها و کاربردها فراهم میکند، در این صفحه به بررسی و آموزش ساختمان داده و الگوریتم پرداخته شده است، هوش مصنوعیدرس هوش مصنوعی
این صفحه عالی به معرفی درس هوش مصنوعی از جمله پیش نیازهای درس هوش مصنوعی، سرفصل و منابع درس هوش مصنوعی و فیلمهای آموزشی درس هوش مصنوعی پرداخته شده، پایگاه دادهپایگاه داده چیست؟ – انواع، مفاهیم و کاربردها
پایگاه داده چیست؟ این مقاله به بررسی این موضوع و همچنین انواع پایگاه داده، کاربردهای پایگاه داده، محبوب ترین پایگاه های داده و اجزای اصلی پایگاه داده پرداخته
و... است. داوطلبان برای پاسخگویی به این سؤالات نیاز به دانش عمیق و تسلط بر مباحث موردنظر دارند و لازم است که از منابع مناسبی مانند دوره نکته و تست و پلتفرم آزمون استفاده کنند.
چگونه می توانم به پاسخ تشریحی کنکور فناوری اطلاعات ۱۳۹۹ دسترسی داشته باشم؟
استفاده از پلتفرم آزمون یا دورههای نکته و تست
علاوه بر منابع معرفی شده، نیاز به منبع دیگری برای تستزنی هست؟
خیر، شما با تهیه این منابع نیاز به منبع دیگری ندارید.
چگونه میتوانم به پاسخنامههای کلیدی کنکور ارشد آیتی دسترسی داشته باشیم؟
دفترچههای کنکور ارشد آیتی به همراه پاسخهای کلیدی پلتفرم آزمون یا دورههای نکته و تست

اشتراکhttps://www.konkurcomputer.ir/c820